

泵的允许几何安装高度与多方面条件有关,公式如下:

式中:
[Hg]—泵的允许几何安装高度,m;(计算结果供设计时利用,实际安装高度需低于允许安装高度)
由上式可知:
海拔越高、水温越高、允许汽蚀余量越大、进水管路水头损失越大,允许几何安装高度越小。


标签:江南app体育登录入口-(中国)官方网站


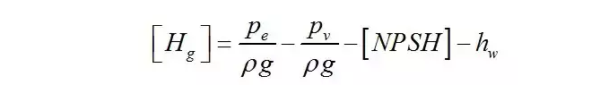
泵的允许几何安装高度与多方面条件有关,公式如下:

式中:
[Hg]—泵的允许几何安装高度,m;(计算结果供设计时利用,实际安装高度需低于允许安装高度)
由上式可知:
海拔越高、水温越高、允许汽蚀余量越大、进水管路水头损失越大,允许几何安装高度越小。

